יומן פעילות
לוח שנה
מבזקי חדשות
תקנון
RSS
כותרות
כותרות לפי תגובה
ניקוי קוקיז
IP
להורדת אפליקציה
בחר פורום
שיחות
ביטקוין ומטבעות קריפטו
כושר ופיתוח גוף
לימודים
צרכנות
הרגע קניתי
שיווק שותפים
כלכלה
בני ה-20
מודיעין
משחקים
תוכנה
חומרה
תיכנות
סמארטפונים
Downloads
שיתוף
מוזיקה
סרטים
צילום
מוטוריקה
לובי
eBay
AliExpress
GearBest
Amazon
Booking
Kiwi
SkyScanner
Trip Advisor
"אשמח לעזרתכם בתרגיל בנושא רציפות לקרת בוחן חשוב ביום חמישי"
גירסת הדפסה
קבוצות דיון
לימודים, מדע ותרבות
נושא #20502
מנהל
סגן המנהל
מפקח
Winner
צל"ש
מומחה
אשכול מספר 20502
כמה עוד
חבר מתאריך 18.11.09
234 הודעות
,
11 פידבק
,
19 נקודות
22:02
24.12.13
אשמח לעזרתכם בתרגיל בנושא רציפות לקרת בוחן חשוב ביום חמישי
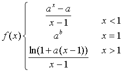
מה צריכים להיות ערכי הפרמטרים a ו b כדי שהפונקציה תהיה רציפה
את b מצאתי
את a אני לא מצליח. מאמין שהסוד תמון במשוואה השלישית
http://rotter.name/User_files/nor/52b9e82864624682.gif
תשובות סופיות
b=1
a=e
הרבה תודה מראש
שתף
ציוץ
מכתב זה והנלווה אליו, על אחריות ועל דעת הכותב בלבד
האשכול
מחבר
תאריך כתיבה
מספר
סוג של הסתדרתי
כמה עוד
24.12.13
23:51
1
כמה עוד
חבר מתאריך 18.11.09
234 הודעות
,
11 פידבק
,
19 נקודות
23:51
24.12.13
1. סוג של הסתדרתי
בתגובה להודעה מספר 0
(ניהול: מחק תגובה)
מכתב זה והנלווה אליו, על אחריות ועל דעת הכותב בלבד
תגובה מהירה
למכתב מספר:
0 - הכותרת
1
___________________________________________________________________
___________________________________________________________________
למנהלים:
נעל
|
תייק בארכיון
|
מחק
|
העבר לפורום אחר
|
מחק תגובות
|
עגן אשכול
בחר פורום
שיחות
ביטקוין ומטבעות קריפטו
כושר ופיתוח גוף
לימודים
צרכנות
הרגע קניתי
כלכלה
בני ה-20
מודיעין
משחקים
תוכנה
חומרה
תיכנות
סמארטפונים
Downloads
שיתוף
מוזיקה
סרטים
צילום
מוטוריקה
לובי
© כל הזכויות שמורות ל-רוטר.נט בע"מ
rotter.net