ABA


"שאלה לגבי גבולות- זהויות"
גירסת הדפסה        
קבוצות דיון לימודים, מדע ותרבות נושא #20538 מנהל    סגן המנהל    מפקח   Winner    צל"ש   מומחה  
אשכול מספר 20538
כמה עוד לחץ כאן להצגת דירוג המשתמש
חבר מתאריך 18.11.09
483 הודעות, 11 פידבק
   20:27   09.01.14   
אל הפורום  
  שאלה לגבי גבולות- זהויות  
 
   ערכתי לאחרונה בתאריך 09.01.14 בשעה 20:31 בברכה, כמה עוד
 
רמת השאלה- אוניבסיטה, חדו"א 1

תגידו לי אם הכל כשר במה שעשיתי
אני לא בטוח שזה כשר לצמצם ב איקס בחזקת איקס

http://rotter.name/User_files/nor/52ceea1171c9ae1c.jpg


                                שתף        
מכתב זה והנלווה אליו, על אחריות ועל דעת הכותב בלבד

  האשכול     מחבר     תאריך כתיבה     מספר  
  0בחזקת0 להשתמש בלופיטל? לא מכיר, אני הייתי מוציא e^xlnx Offens1ve  09.01.14 22:24 1
     מה היית מרוויח מ e^xlnx? כמה עוד 10.01.14 11:45 5
  מי אמר שהביטוי שסימנת בעיגול שואף ל1? ofirtra 09.01.14 23:22 2
     זאת בידיוק השאלה שלי. אם אפשר לחלק בכל גורם בתוך sin כמה עוד 10.01.14 11:43 4
  הפתרון שלי danny444 10.01.14 08:55 3
     נחמד, תודה רבה. אבל אשמח לעוד דרכים כמה עוד 10.01.14 11:48 6
  ה x^x נמצא כולו בתוך ה sin? אם כן... IDAN_500  10.01.14 15:42 7
     אה אני צריך ''להכניס'' את ה lim לתוך ה sin? כמה עוד 10.01.14 21:10 8
         כן, זה בדיוק כמו... IDAN_500  10.01.14 22:26 9
             תודה רבה כמה עוד 10.01.14 23:09 10

       
Offens1ve  לחץ כאן להצגת דירוג המשתמש
חבר מתאריך 26.5.05
5968 הודעות, 3 פידבק
   22:24   09.01.14   
אל הפורום  
  1. 0בחזקת0 להשתמש בלופיטל? לא מכיר, אני הייתי מוציא e^xlnx  
בתגובה להודעה מספר 0
 
  


                                                         (ניהול: מחק תגובה)
מכתב זה והנלווה אליו, על אחריות ועל דעת הכותב בלבד
כמה עוד לחץ כאן להצגת דירוג המשתמש
חבר מתאריך 18.11.09
483 הודעות, 11 פידבק
   11:45   10.01.14   
אל הפורום  
  5. מה היית מרוויח מ e^xlnx?  
בתגובה להודעה מספר 1
 
  


                                                         (ניהול: מחק תגובה)
מכתב זה והנלווה אליו, על אחריות ועל דעת הכותב בלבד
ofirtra
חבר מתאריך 28.8.12
260 הודעות
   23:22   09.01.14   
אל הפורום  
  2. מי אמר שהביטוי שסימנת בעיגול שואף ל1?  
בתגובה להודעה מספר 0
 
   זה לא מצב של sinx/x


                                                         (ניהול: מחק תגובה)
מכתב זה והנלווה אליו, על אחריות ועל דעת הכותב בלבד
כמה עוד לחץ כאן להצגת דירוג המשתמש
חבר מתאריך 18.11.09
483 הודעות, 11 פידבק
   11:43   10.01.14   
אל הפורום  
  4. זאת בידיוק השאלה שלי. אם אפשר לחלק בכל גורם בתוך sin  
בתגובה להודעה מספר 2
 
  


                                                         (ניהול: מחק תגובה)
מכתב זה והנלווה אליו, על אחריות ועל דעת הכותב בלבד
danny444
חבר מתאריך 14.9.08
1982 הודעות
   08:55   10.01.14   
אל הפורום  
  3. הפתרון שלי  
בתגובה להודעה מספר 0
 
   http://rotter.name/User_files/nor/52cf995915f33dc2.jpg#


                                                         (ניהול: מחק תגובה)
מכתב זה והנלווה אליו, על אחריות ועל דעת הכותב בלבד
כמה עוד לחץ כאן להצגת דירוג המשתמש
חבר מתאריך 18.11.09
483 הודעות, 11 פידבק
   11:48   10.01.14   
אל הפורום  
  6. נחמד, תודה רבה. אבל אשמח לעוד דרכים  
בתגובה להודעה מספר 3
 
  


                                                         (ניהול: מחק תגובה)
מכתב זה והנלווה אליו, על אחריות ועל דעת הכותב בלבד
IDAN_500 
חבר מתאריך 11.12.03
2321 הודעות
   15:42   10.01.14   
אל הפורום  
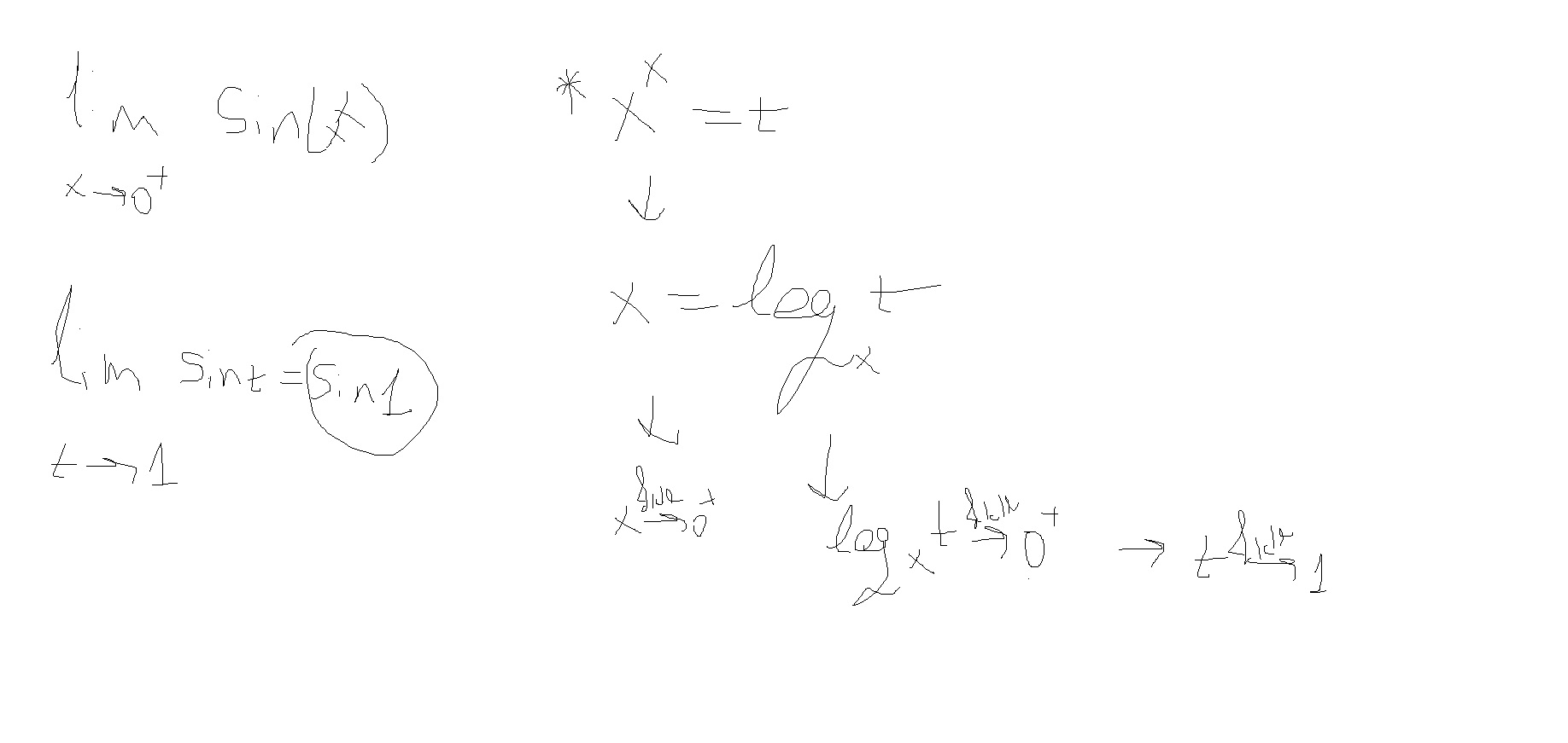
  7. ה x^x נמצא כולו בתוך ה sin? אם כן...  
בתגובה להודעה מספר 0
 
   ערכתי לאחרונה בתאריך 10.01.14 בשעה 15:45 בברכה, IDAN_500
 
אם כן, אז אתה מחשב רק את הגבול הפנימי של x^x, אתה תגיע בסוף שהגבול שלו הוא 1, ואז התשובה הסופית היא sin1


                                                         (ניהול: מחק תגובה)
מכתב זה והנלווה אליו, על אחריות ועל דעת הכותב בלבד
כמה עוד לחץ כאן להצגת דירוג המשתמש
חבר מתאריך 18.11.09
483 הודעות, 11 פידבק
   21:10   10.01.14   
אל הפורום  
  8. אה אני צריך ''להכניס'' את ה lim לתוך ה sin?  
בתגובה להודעה מספר 7
 
  


                                                         (ניהול: מחק תגובה)
מכתב זה והנלווה אליו, על אחריות ועל דעת הכותב בלבד
IDAN_500 
חבר מתאריך 11.12.03
2321 הודעות
   22:26   10.01.14   
אל הפורום  
  9. כן, זה בדיוק כמו...  
בתגובה להודעה מספר 8
 
   שנגיד היה לך לחשב גבול של e בחזקת משהו, אז תאכלס מספיק בשביל לחשב את הגבול של החזקה והתוצאה שיוצאת זה e בחזקת הגבול שיצא.


                                                         (ניהול: מחק תגובה)
מכתב זה והנלווה אליו, על אחריות ועל דעת הכותב בלבד
כמה עוד לחץ כאן להצגת דירוג המשתמש
חבר מתאריך 18.11.09
483 הודעות, 11 פידבק
   23:09   10.01.14   
אל הפורום  
  10. תודה רבה  
בתגובה להודעה מספר 9
 
  


                                                         (ניהול: מחק תגובה)
מכתב זה והנלווה אליו, על אחריות ועל דעת הכותב בלבד

תגובה מהירה  למכתב מספר: 
 
___________________________________________________________________

___________________________________________________________________
למנהלים:  נעל | תייק בארכיון | מחק | העבר לפורום אחר | מחק תגובות | עגן אשכול
       
דרג לפי חשיבות הנושא  דרג לפי חשיבות הנושא   



© כל הזכויות שמורות ל-רוטר.נט בע"מ rotter.net