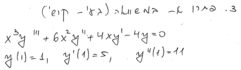
לא למדנו שיטות כאלהעל פולינום אופייני דיברנו בכלל רק במשוואות אוילר
בהורדת סדר של משוואה הומוגנית המכילה גם את המשתנה התלוי וגם את הבלתי תלוי, למדנו שיש לבדוק שהיא ליניארית ביחס לy
ואם כן מבצעים הצבה של
z(x) = y' /y
ומכאן מקבלים ביטויים של y', y'', y'''
התלויים בZ....
הבעיה שגם לאחר שימוש בהצבה הנ"ל מגיעים למשוואה עוד יותר מזעזעת שבלתי ניתן להמשיך אותה
כי שם לא מצטמטם כלום ואני מגיע למבוי סתום
