ABA


"צריך עזרה בשאלה מתמטית ממבחן imat"
גירסת הדפסה        
קבוצות דיון לימודים, מדע ותרבות נושא #20766 מנהל    סגן המנהל    מפקח   Winner    צל"ש   מומחה  
אשכול מספר 20766
onso לחץ כאן להצגת דירוג המשתמש
חבר מתאריך 16.4.03
32296 הודעות, 4 פידבק, 6 נקודות
   12:06   16.05.14   
אל הפורום  
  צריך עזרה בשאלה מתמטית ממבחן imat  
 
   http://rotter.name/User_files/nor/5375d5153840e212.jpg


אשמח אם מישהו יכול להסביר מה הוא הבין מה השאלה
ואיך הוא פתר והגיע לתשובה.


                                שתף        
מכתב זה והנלווה אליו, על אחריות ועל דעת הכותב בלבד

  האשכול     מחבר     תאריך כתיבה     מספר  
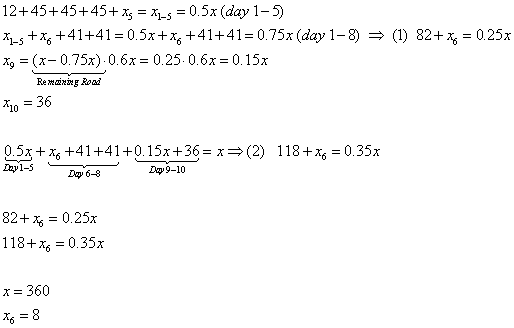
  לי יצא 360 eminem 16.05.14 13:08 1

       
eminem
חבר מתאריך 14.11.03
4363 הודעות, 1 פידבק, -2 נקודות
   13:08   16.05.14   
אל הפורום  
  1. לי יצא 360  
בתגובה להודעה מספר 0
 
   פשוט תבנה לאט את המשוואות עם הסיפור

הנתונים לפי מה שרשום לך

http://rotter.name/User_files/nor/5375e3b01b292d79.gif


                                                         (ניהול: מחק תגובה)
מכתב זה והנלווה אליו, על אחריות ועל דעת הכותב בלבד

תגובה מהירה  למכתב מספר: 
 
___________________________________________________________________

___________________________________________________________________
למנהלים:  נעל | תייק בארכיון | מחק | העבר לפורום אחר | מחק תגובות | עגן אשכול
       
דרג לפי חשיבות הנושא  דרג לפי חשיבות הנושא   



© כל הזכויות שמורות ל-רוטר.נט בע"מ rotter.net