ABA


"עזרה באינטגרלים בבקשה .."
גירסת הדפסה        
קבוצות דיון לימודים, מדע ותרבות נושא #20830 מנהל    סגן המנהל    מפקח   Winner    צל"ש   מומחה  
אשכול מספר 20830
Crazy Lion  לחץ כאן להצגת דירוג המשתמש
חבר מתאריך 1.7.02
19328 הודעות, 9 פידבק
   12:30   22.06.14   
אל הפורום  
  עזרה באינטגרלים בבקשה ..  
 
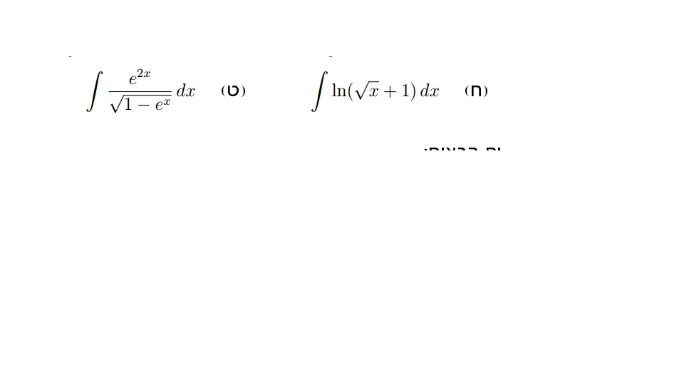
   http://rotter.name/User_files/nor/53a6a21835c937ca.jpg

בח ) אפשר לפצל את ה LN ל שורש איקס וLN של 1 ?
ובנוגע לט אין לחי מושג איך להתחיל בכלל

מילוי סקרים בתשלום למי שמעונין ,
משלם בזמן וקל להגיע ליעד :
https://goo.gl/EJh6V2


                                שתף        
מכתב זה והנלווה אליו, על אחריות ועל דעת הכותב בלבד

  האשכול     מחבר     תאריך כתיבה     מספר  
  בשני תסמן את השורש ב t ואז תעלה בריבוע כדי למצוא כמה e^x שווה ותמשיך זה קל eliran005  22.06.14 13:03 1
     אתה יכול להראות לי בבקשה את הדרך עם ה T לתושבה הסופית Crazy Lion  22.06.14 13:28 4
         וולפארמה eliran005  22.06.14 13:37 5
  לגבי השאלה הראשונה תחפש בגוגל חוקי ln ותוך שנייה תגלה אם מה ששאלת מותר או לא eliran005  22.06.14 13:04 2
     אז אסור אבל הטריק זה להכפיל את הLN פי 1 ואז לעשות אינטגרציה בחלקים ? Crazy Lion  22.06.14 13:22 3
         זה הכיוון שלי. ניסית? ofirtra 22.06.14 14:07 6
             כן אני תיכף ישווה מול WOLF .. תודה רבה לכם :) Crazy Lion  22.06.14 14:40 7
  ח IdoA 22.06.14 20:43 8
     ט IdoA 22.06.14 21:00 9
         שכחתי שם מינוס באחת הגזירות תשים לב, תהפוך רק את הסימנים IdoA 22.06.14 21:03 10

       
eliran005  לחץ כאן להצגת דירוג המשתמש
חבר מתאריך 6.6.05
32282 הודעות, 6 פידבק
   13:03   22.06.14   
אל הפורום  
  1. בשני תסמן את השורש ב t ואז תעלה בריבוע כדי למצוא כמה e^x שווה ותמשיך זה קל  
בתגובה להודעה מספר 0
 
  


                                                         (ניהול: מחק תגובה)
מכתב זה והנלווה אליו, על אחריות ועל דעת הכותב בלבד
Crazy Lion  לחץ כאן להצגת דירוג המשתמש
חבר מתאריך 1.7.02
19328 הודעות, 9 פידבק
   13:28   22.06.14   
אל הפורום  
  4. אתה יכול להראות לי בבקשה את הדרך עם ה T לתושבה הסופית  
בתגובה להודעה מספר 1
 
   אין לי תשוובת להשוואה..:(

מילוי סקרים בתשלום למי שמעונין ,
משלם בזמן וקל להגיע ליעד :
https://goo.gl/EJh6V2


                                                         (ניהול: מחק תגובה)
מכתב זה והנלווה אליו, על אחריות ועל דעת הכותב בלבד
eliran005  לחץ כאן להצגת דירוג המשתמש
חבר מתאריך 6.6.05
32282 הודעות, 6 פידבק
   13:37   22.06.14   
אל הפורום  
  5. וולפארמה  
בתגובה להודעה מספר 4
 
  


                                                         (ניהול: מחק תגובה)
מכתב זה והנלווה אליו, על אחריות ועל דעת הכותב בלבד
eliran005  לחץ כאן להצגת דירוג המשתמש
חבר מתאריך 6.6.05
32282 הודעות, 6 פידבק
   13:04   22.06.14   
אל הפורום  
  2. לגבי השאלה הראשונה תחפש בגוגל חוקי ln ותוך שנייה תגלה אם מה ששאלת מותר או לא  
בתגובה להודעה מספר 0
 
  


                                                         (ניהול: מחק תגובה)
מכתב זה והנלווה אליו, על אחריות ועל דעת הכותב בלבד
Crazy Lion  לחץ כאן להצגת דירוג המשתמש
חבר מתאריך 1.7.02
19328 הודעות, 9 פידבק
   13:22   22.06.14   
אל הפורום  
  3. אז אסור אבל הטריק זה להכפיל את הLN פי 1 ואז לעשות אינטגרציה בחלקים ?  
בתגובה להודעה מספר 2
 
  

מילוי סקרים בתשלום למי שמעונין ,
משלם בזמן וקל להגיע ליעד :
https://goo.gl/EJh6V2


                                                         (ניהול: מחק תגובה)
מכתב זה והנלווה אליו, על אחריות ועל דעת הכותב בלבד
ofirtra
חבר מתאריך 28.8.12
259 הודעות
   14:07   22.06.14   
אל הפורום  
  6. זה הכיוון שלי. ניסית?  
בתגובה להודעה מספר 3
 
  


                                                         (ניהול: מחק תגובה)
מכתב זה והנלווה אליו, על אחריות ועל דעת הכותב בלבד
Crazy Lion  לחץ כאן להצגת דירוג המשתמש
חבר מתאריך 1.7.02
19328 הודעות, 9 פידבק
   14:40   22.06.14   
אל הפורום  
  7. כן אני תיכף ישווה מול WOLF .. תודה רבה לכם :)  
בתגובה להודעה מספר 6
 
  

מילוי סקרים בתשלום למי שמעונין ,
משלם בזמן וקל להגיע ליעד :
https://goo.gl/EJh6V2


                                                         (ניהול: מחק תגובה)
מכתב זה והנלווה אליו, על אחריות ועל דעת הכותב בלבד
IdoA
חבר מתאריך 1.8.02
19395 הודעות
   20:43   22.06.14   
אל הפורום  
  8. ח  
בתגובה להודעה מספר 0
 
http://i.imgur.com/nry6oOr.jpg?1?9342

Do you ever listen to K Billy's Super Sounds of the 70's?


                                                         (ניהול: מחק תגובה)
מכתב זה והנלווה אליו, על אחריות ועל דעת הכותב בלבד
IdoA
חבר מתאריך 1.8.02
19395 הודעות
   21:00   22.06.14   
אל הפורום  
  9. ט  
בתגובה להודעה מספר 8
 

http://imgur.com/zonGUQF

Do you ever listen to K Billy's Super Sounds of the 70's?


                                                         (ניהול: מחק תגובה)
מכתב זה והנלווה אליו, על אחריות ועל דעת הכותב בלבד
IdoA
חבר מתאריך 1.8.02
19395 הודעות
   21:03   22.06.14   
אל הפורום  
  10. שכחתי שם מינוס באחת הגזירות תשים לב, תהפוך רק את הסימנים  
בתגובה להודעה מספר 9
 

Do you ever listen to K Billy's Super Sounds of the 70's?


                                                         (ניהול: מחק תגובה)
מכתב זה והנלווה אליו, על אחריות ועל דעת הכותב בלבד

תגובה מהירה  למכתב מספר: 
 
___________________________________________________________________

___________________________________________________________________
למנהלים:  נעל | תייק בארכיון | מחק | העבר לפורום אחר | מחק תגובות | עגן אשכול
       



© כל הזכויות שמורות ל-רוטר.נט בע"מ rotter.net