ABA


"חברים יש מצב לעזרה כאן בשאלה בפיזיקה במטוטא ממכם..."
גירסת הדפסה        
קבוצות דיון לימודים, מדע ותרבות נושא #20946 מנהל    סגן המנהל    מפקח   Winner    צל"ש   מומחה  
אשכול מספר 20946
onso לחץ כאן להצגת דירוג המשתמש
חבר מתאריך 16.4.03
32231 הודעות, 4 פידבק, 6 נקודות
   20:40   05.10.14   
אל הפורום  
  חברים יש מצב לעזרה כאן בשאלה בפיזיקה במטוטא ממכם...  
 
   http://rotter.name/User_files/nor/543181670a61552a.jpg

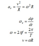
שאלה 1, משהו לא מסתדר, לדעתי יש לי טעות בהשוואת יחידות אבל לא נראה לי שזה משנה בעיקר בגלל שאין מחשבון במבחן, סך הכל השתמשתי בנוסחאות האלה: (לא חשוב שצריך יותר מזה) אולי יש לי טעות גם בזמן מחזור שאני שם..

http://rotter.name/User_files/nor/5431824f0e053851.jpg


קיצר בחייאת תנו יד..תודה!


                                שתף        
מכתב זה והנלווה אליו, על אחריות ועל דעת הכותב בלבד

  האשכול     מחבר     תאריך כתיבה     מספר  
  המהירות המשיקית שלו היא 500 קמ''ש Bar  05.10.14 21:01 1
     ניסית ויצא לך? משום שאני כבר ניסיתי את הדרך הזאת ולא יצא נכון...יצא איזה 39.22 onso 05.10.14 21:27 2
         במחשבה שנייה, זה יותר פשוט מזה Bar  05.10.14 21:54 3
             =\ onso 05.10.14 21:55 4
  היה פה כבר פוסט על השאלה הזאת, של עדיאל. מאמין שזה עדיין בעמוד הראשון פה בפורום כמה עוד 06.10.14 07:41 5

       
Bar  לחץ כאן להצגת דירוג המשתמש
חבר מתאריך 24.3.02
24027 הודעות, 7 פידבק, 14 נקודות
   21:01   05.10.14   
אל הפורום  
  1. המהירות המשיקית שלו היא 500 קמ''ש  
בתגובה להודעה מספר 0
 
   וזמן המחזור שלו הוא 80 שניות. ברגע שאתה יודע את זמן המחזור אתה יודע את המהירות הזוויתית (w) לפי הנוסחה השנייה שרשמת.את המהירות המשיקית אתה יודע כי המטוס נע ב-500 קמ"ש לכל אורך המסלול המעגלי שהוא מבצע.עם 2 הנתונים האלה אתה יכול למצוא את הרדיוס ע"י v=wR, ומשם גם למצוא את התאוצה הרדיאלית מהמשוואה הראשונה שרשמת.


He who makes a beast out of himself,
gets rid of the pain of being a man.


                                                         (ניהול: מחק תגובה)
מכתב זה והנלווה אליו, על אחריות ועל דעת הכותב בלבד
onso לחץ כאן להצגת דירוג המשתמש
חבר מתאריך 16.4.03
32231 הודעות, 4 פידבק, 6 נקודות
   21:27   05.10.14   
אל הפורום  
  2. ניסית ויצא לך? משום שאני כבר ניסיתי את הדרך הזאת ולא יצא נכון...יצא איזה 39.22  
בתגובה להודעה מספר 1
 
   ערכתי לאחרונה בתאריך 05.10.14 בשעה 21:31 בברכה, onso
 
או משהו כזה...


                                                         (ניהול: מחק תגובה)
מכתב זה והנלווה אליו, על אחריות ועל דעת הכותב בלבד
Bar  לחץ כאן להצגת דירוג המשתמש
חבר מתאריך 24.3.02
24027 הודעות, 7 פידבק, 14 נקודות
   21:54   05.10.14   
אל הפורום  
  3. במחשבה שנייה, זה יותר פשוט מזה  
בתגובה להודעה מספר 2
 
   הם לא מבקשים את התאוצה הרדיאלית, אלא את התאוצה הממוצעת.
בהתחלה הוא נע 500 קמ"ש צפונה, ובסוף הוא נע 500 קמ"ש דרומה, ז"א שיש שינוי של 1000 קמ"ש לכיוון דרום תוך 40 שניות. 1000/40 = 25 קמ"ש לכיוון דרום.


He who makes a beast out of himself,
gets rid of the pain of being a man.


                                                         (ניהול: מחק תגובה)
מכתב זה והנלווה אליו, על אחריות ועל דעת הכותב בלבד
onso לחץ כאן להצגת דירוג המשתמש
חבר מתאריך 16.4.03
32231 הודעות, 4 פידבק, 6 נקודות
   21:55   05.10.14   
אל הפורום  
  4. =\  
בתגובה להודעה מספר 3
 
  


                                                         (ניהול: מחק תגובה)
מכתב זה והנלווה אליו, על אחריות ועל דעת הכותב בלבד
כמה עוד לחץ כאן להצגת דירוג המשתמש
חבר מתאריך 18.11.09
234 הודעות, 11 פידבק, 19 נקודות
   07:41   06.10.14   
אל הפורום  
  5. היה פה כבר פוסט על השאלה הזאת, של עדיאל. מאמין שזה עדיין בעמוד הראשון פה בפורום  
בתגובה להודעה מספר 0
 
  


                                                         (ניהול: מחק תגובה)
מכתב זה והנלווה אליו, על אחריות ועל דעת הכותב בלבד

תגובה מהירה  למכתב מספר: 
 
___________________________________________________________________

___________________________________________________________________
למנהלים:  נעל | תייק בארכיון | מחק | העבר לפורום אחר | מחק תגובות | עגן אשכול
       



© כל הזכויות שמורות ל-רוטר.נט בע"מ rotter.net