ABA


"עוד עזרה קטנה בחדוא.. תחום הגדרה"
גירסת הדפסה        
קבוצות דיון לימודים, מדע ותרבות נושא #20981 מנהל    סגן המנהל    מפקח   Winner    צל"ש   מומחה  
אשכול מספר 20981
Zeet3x  לחץ כאן להצגת דירוג המשתמש
חבר מתאריך 14.2.12
9976 הודעות, 24 פידבק
   23:28   28.10.14   
אל הפורום  
  עוד עזרה קטנה בחדוא.. תחום הגדרה  
 
   ערכתי לאחרונה בתאריך 28.10.14 בשעה 23:40 בברכה, Zeet3x
 
תרגיל 5 סעיף ו פשוט יוצאות לי תשובות שונות ולא מבין למה.. תודה


!http://rotter.name/User_files/nor/54500d1a22bed0ab.pdf


                                שתף        
מכתב זה והנלווה אליו, על אחריות ועל דעת הכותב בלבד

  האשכול     מחבר     תאריך כתיבה     מספר  
  מכתב Becker 29.10.14 01:00 1
     זה בין מינוס פאי לפאי ולא בין 0 לפאי Becker 29.10.14 05:52 2
         תודה אחי אבל תראה מה שרשום בתשובות Zeet3x  01.11.14 12:57 3
             מכתב נחמיה  02.11.14 16:53 4
                 סבבה תודה.. המתרגלת באמת עברה על זה וזה באמת דיי פשוט Zeet3x  03.11.14 23:17 5

       
Becker
חבר מתאריך 15.9.06
4439 הודעות
   01:00   29.10.14   
אל הפורום  
  1. מכתב  
בתגובה להודעה מספר 0
 
   כך מתנהג הסינוס
http://upload.wikimedia.org/wikipedia/commons/thumb/d/d2/Sine_one_period.svg/600px-Sine_one_period.svg.png

בגלל השורש אתה חייב לקבל ערך הגדול/שווה לאפס.
והתוצאה שבתוך השורש של ה X חייבת להיות בין0 לפאי.
מקרה כזה יתקבל עם X יהיה בין 0 ל פאי + K פאי וכל זה בריבוע

http://rotter.name/User_files/nor/54501fd26cec9909.jpg

וK חייב להיות מספר שלם (גם שלילי)


                                                         (ניהול: מחק תגובה)
מכתב זה והנלווה אליו, על אחריות ועל דעת הכותב בלבד
Becker
חבר מתאריך 15.9.06
4439 הודעות
   05:52   29.10.14   
אל הפורום  
  2. זה בין מינוס פאי לפאי ולא בין 0 לפאי  
בתגובה להודעה מספר 1
 
  


                                                         (ניהול: מחק תגובה)
מכתב זה והנלווה אליו, על אחריות ועל דעת הכותב בלבד
Zeet3x  לחץ כאן להצגת דירוג המשתמש
חבר מתאריך 14.2.12
9976 הודעות, 24 פידבק
   12:57   01.11.14   
אל הפורום  
  3. תודה אחי אבל תראה מה שרשום בתשובות  
בתגובה להודעה מספר 2
 
   http://rotter.name/User_files/nor/5454bc7d3028566a.jpg

לא הבנתי מהאיפה מגיע שם ה4 הזה


                                                         (ניהול: מחק תגובה)
מכתב זה והנלווה אליו, על אחריות ועל דעת הכותב בלבד
נחמיה  לחץ כאן להצגת דירוג המשתמש
חבר מתאריך 24.5.05
5984 הודעות, 3 פידבק
   16:53   02.11.14   
אל הפורום  
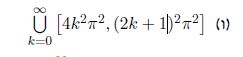
  4. מכתב  
בתגובה להודעה מספר 3
 
   יש לך מערכת וגם של x>0 וגם sinx^0.5>0.
שאתה מפתח את השני אתה מגיע למשוואה x^0.5>0+2*pi*k
תעלה את כל השמוואה בריבוע בשביל לבודד את האיקס ותקבל
x>4*pi^2*k^2


                                                         (ניהול: מחק תגובה)
מכתב זה והנלווה אליו, על אחריות ועל דעת הכותב בלבד
Zeet3x  לחץ כאן להצגת דירוג המשתמש
חבר מתאריך 14.2.12
9976 הודעות, 24 פידבק
   23:17   03.11.14   
אל הפורום  
  5. סבבה תודה.. המתרגלת באמת עברה על זה וזה באמת דיי פשוט  
בתגובה להודעה מספר 4
 
   תודה!


                                                         (ניהול: מחק תגובה)
מכתב זה והנלווה אליו, על אחריות ועל דעת הכותב בלבד

תגובה מהירה  למכתב מספר: 
 
___________________________________________________________________

___________________________________________________________________
למנהלים:  נעל | תייק בארכיון | מחק | העבר לפורום אחר | מחק תגובות | עגן אשכול
       



© כל הזכויות שמורות ל-רוטר.נט בע"מ rotter.net