ABA


"שאלה לגביי כפל בלוגים"
גירסת הדפסה        
קבוצות דיון לימודים, מדע ותרבות נושא #21108 מנהל    סגן המנהל    מפקח   Winner    צל"ש   מומחה  
אשכול מספר 21108
eli-15 לחץ כאן להצגת דירוג המשתמש
חבר מתאריך 25.9.03
19420 הודעות, 1 פידבק, 2 נקודות
   22:46   23.01.15   
אל הפורום  
  שאלה לגביי כפל בלוגים  
 
   יש לי תרגיל

log2 * log40 + log5 * log4 = log8

* מציין כפל


איך אני פותר את זה?

תודה לעוזרים


                                שתף        
מכתב זה והנלווה אליו, על אחריות ועל דעת הכותב בלבד

  האשכול     מחבר     תאריך כתיבה     מספר  
  בעזרת חוקי לוגים כמובן. Bar  24.01.15 00:59 1
     אני מכיר את החוקים האלו...אבל אני עדין לא מבין איך להפטר מהכפל eli-15 24.01.15 17:13 2
         הטעות שלך היא סדר פעולות חשבון. ShocKi  24.01.15 17:31 3
             סבבה אבל אסור לעשות כפל בלוגים...רק אם יש פלוסים אז מחברים ככפל eli-15 24.01.15 17:35 4
                 תחשוב כך: ShocKi  24.01.15 17:49 5
                     שיחקתי קצת עם זה , יש מצב שהייתי אמור להציב T ? יצא לי ככה eli-15 24.01.15 17:58 6
                         קשה לי להבין מה עשית... ShocKi  24.01.15 18:11 7
  לא הבנתי מה התרגיל פה ofirtra 24.01.15 23:59 8
     התרגיל הוא להראות שהשיוויון מתקיים בלי להשתמש במחשבון ShocKi  25.01.15 00:18 9

       
Bar  לחץ כאן להצגת דירוג המשתמש
חבר מתאריך 24.3.02
24213 הודעות, 7 פידבק, 14 נקודות
   00:59   24.01.15   
אל הפורום  
  1. בעזרת חוקי לוגים כמובן.  
בתגובה להודעה מספר 0
 
   נטו לפי חוקי לוגריתמים.
כשיש לך מספר בחזקה מסויימת בלוגריתם אתה יכול ״להוריד״ את החזקה ללפני הלוגריתם בכפל.
כשיש לך חיבור של 2 לוגריתמים מאותו בסיס עם איברים שונים, התוצאה היא הלוגריתם של מכפלת האיברים (באותו בסיס). זה כל מה שאתה צריך לדעת בשביל לפתור את התרגיל.


                                                         (ניהול: מחק תגובה)
מכתב זה והנלווה אליו, על אחריות ועל דעת הכותב בלבד
eli-15 לחץ כאן להצגת דירוג המשתמש
חבר מתאריך 25.9.03
19420 הודעות, 1 פידבק, 2 נקודות
   17:13   24.01.15   
אל הפורום  
  2. אני מכיר את החוקים האלו...אבל אני עדין לא מבין איך להפטר מהכפל  
בתגובה להודעה מספר 1
 
   יוצא לי

log2 * log200 * 2log2 = 3log2


log2 * log100 + log2 * 2log2 = 3log2


log2 * 2 + log2 * 2log2 = 3log2

2log2 + log2 * 2log2 = 3log2


וברור שאני לא פותר את זה נכון


                                                         (ניהול: מחק תגובה)
מכתב זה והנלווה אליו, על אחריות ועל דעת הכותב בלבד
ShocKi  לחץ כאן להצגת דירוג המשתמש
חבר מתאריך 19.3.02
20215 הודעות, 10 פידבק, 17 נקודות
   17:31   24.01.15   
אל הפורום  
  3. הטעות שלך היא סדר פעולות חשבון.  
בתגובה להודעה מספר 2
 
   בשורה הראשונה הגעת ל log200.
מה שבעצם עשית זה log40 + log5 לפי הכלל log(ab)=loga+logb אבל אתה לא יכול לעשות את זה... אתה בעצם עשית פעולת חיבור לפני שעשית פעולת כפל.
הרי בפועל אין לך log40 יש לך log2 * log40 ובפועל אין לך log5 יש לך log5 * log4 ואתה חייב קודם לבצע את הכפל לפני שתבצע חיבור.

תחשוב שיש לך:
a*b+c*d אתה לא יכול לעשות במצב הזה b+c.... אתה חייב קודם לעשות a*b וגם c*d ורק אז מותר לך לחבר את התוצאות.


                                                         (ניהול: מחק תגובה)
מכתב זה והנלווה אליו, על אחריות ועל דעת הכותב בלבד
eli-15 לחץ כאן להצגת דירוג המשתמש
חבר מתאריך 25.9.03
19420 הודעות, 1 פידבק, 2 נקודות
   17:35   24.01.15   
אל הפורום  
  4. סבבה אבל אסור לעשות כפל בלוגים...רק אם יש פלוסים אז מחברים ככפל  
בתגובה להודעה מספר 3
 
   כלומר אם יש LOG2+LOG40 אפשר להגיד LOG(2*40

אבל אם יש log2*log40 אי אפשר להגיד log80 ... (ככה לפחות הסבירו לנו בכיתה

אז אני שואל...מה אני מפספס פה?

לכתוב את הlog2*log40 כ log2 + log40 ואז לכפול?


                                                         (ניהול: מחק תגובה)
מכתב זה והנלווה אליו, על אחריות ועל דעת הכותב בלבד
ShocKi  לחץ כאן להצגת דירוג המשתמש
חבר מתאריך 19.3.02
20215 הודעות, 10 פידבק, 17 נקודות
   17:49   24.01.15   
אל הפורום  
  5. תחשוב כך:  
בתגובה להודעה מספר 4
 
   אם היה לך a*logb+c*logd=x

מה היית עושה?

יש כלל ברשימת כללי הלוגים שאתה מפספס... זה כלל שמאפשר לך לעבור מצורה כזאת לצורה של log+log... ואחרי שאתה עובר לצורה כזאת.. רק אז אתה משתמש בכלל חיבור הלוגים שאתה מדבר עליו.


                                                         (ניהול: מחק תגובה)
מכתב זה והנלווה אליו, על אחריות ועל דעת הכותב בלבד
eli-15 לחץ כאן להצגת דירוג המשתמש
חבר מתאריך 25.9.03
19420 הודעות, 1 פידבק, 2 נקודות
   17:58   24.01.15   
אל הפורום  
  6. שיחקתי קצת עם זה , יש מצב שהייתי אמור להציב T ? יצא לי ככה  
בתגובה להודעה מספר 5
 
   זאת הדרך? או שפוקס?

https://fbcdn-sphotos-h-a.akamaihd.net/hphotos-ak-xpf1/v/t34.0-12/10952770_999710683377318_720969211_n.jpg?oh=525cc530d253b5ca9d9e7c8afe157b6f&oe=54C5DBDE&__gda__=1422257923_cd9487c1c7d5d2ddd6dba8bb06d5060d


                                                         (ניהול: מחק תגובה)
מכתב זה והנלווה אליו, על אחריות ועל דעת הכותב בלבד
ShocKi  לחץ כאן להצגת דירוג המשתמש
חבר מתאריך 19.3.02
20215 הודעות, 10 פידבק, 17 נקודות
   18:11   24.01.15   
אל הפורום  
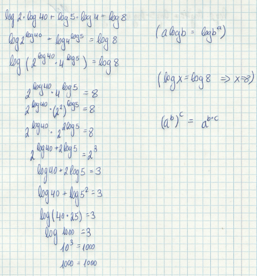
  7. קשה לי להבין מה עשית...  
בתגובה להודעה מספר 6
 
   בעיקר בגלל שאתה לא כותב מסודר עם סוגריים.. וזה אגב מקור כמעט וודאי לטעויות.

בכל מקרה זה הפתרון, בצד ימין כתבתי חוקים או הסברים.

http://rotter.name/User_files/nor/54c3c427064e504a.jpg


                                                         (ניהול: מחק תגובה)
מכתב זה והנלווה אליו, על אחריות ועל דעת הכותב בלבד
ofirtra
חבר מתאריך 28.8.12
260 הודעות, דרג אמינות חבר זה
   23:59   24.01.15   
אל הפורום  
  8. לא הבנתי מה התרגיל פה  
בתגובה להודעה מספר 0
 
   מה אתה צריך למצוא? אין פה נעלמים.
זה כמו שאני ארשום 2+4=8 תפתור


                                                         (ניהול: מחק תגובה)
מכתב זה והנלווה אליו, על אחריות ועל דעת הכותב בלבד
ShocKi  לחץ כאן להצגת דירוג המשתמש
חבר מתאריך 19.3.02
20215 הודעות, 10 פידבק, 17 נקודות
   00:18   25.01.15   
אל הפורום  
  9. התרגיל הוא להראות שהשיוויון מתקיים בלי להשתמש במחשבון  
בתגובה להודעה מספר 8
 
  


                                                         (ניהול: מחק תגובה)
מכתב זה והנלווה אליו, על אחריות ועל דעת הכותב בלבד

תגובה מהירה  למכתב מספר: 
 
___________________________________________________________________

___________________________________________________________________
למנהלים:  נעל | תייק בארכיון | מחק | העבר לפורום אחר | מחק תגובות | עגן אשכול
       
דרג לפי חשיבות הנושא  דרג לפי חשיבות הנושא   



© כל הזכויות שמורות ל-רוטר.נט בע"מ rotter.net