ABA


"שאלה בסטיסטיקה א השערות"
גירסת הדפסה        
קבוצות דיון לימודים, מדע ותרבות נושא #21135 מנהל    סגן המנהל    מפקח   Winner    צל"ש   מומחה  
אשכול מספר 21135
Crazy Lion  לחץ כאן להצגת דירוג המשתמש
חבר מתאריך 1.7.02
19328 הודעות, 9 פידבק, 16 נקודות
   14:23   24.02.15   
אל הפורום  
  שאלה בסטיסטיקה א השערות  
 
   ערכתי לאחרונה בתאריך 24.02.15 בשעה 17:06 בברכה, Crazy Lion
 
בבנק מסוים בדקו את מספר החשבונות החדשים הנפתחים במשך שבוע. מתוך מדגם מקרי של יותר מ-60
סניפים נמצא שברמת ביטחון של 95% תוחלת מספר החשבונות החדשים הנפתחים בשבוע נעה בין 20 ל-30. חוקר
משער שתוחלת מספר החשבונות החדשים בשבוע שונה מ-31.
מה תהייה מסקנתו ברמת מובהקות של 5%?
א. לא ניתן לבדוק את ההשערה כי לא ידוע גודל המדגם המדויק.
ב. לא ניתן לבדוק כי לא ידוע אם מספר החשבונות הנפתחים לשבוע מפולגים נורמאלית.
ג. לא נדחה את השערת האפס ברמת מובהקות של 5%.
ד. נדחה את השערת האפס ברמת מובהקות של 5%.
תודה מראש
לא מבין איך למצוא את סטיית התקן או השונות

ושאלה נוספת תודה מראש:


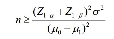
16. עבור בדיקת ההשערה החד צדדית נלקח מדגם של 100 תצפיות סטיית התקן באוכלוסייה ידועה
ושווה ל-43.1 וכן ידוע ש . אם מעוניינים שכל אחת מההסתברויות לטעויות ו - יקטנו פי 2 גודלו של
המדגם שצריך לקחת הוא:

א. 177 ב. 153 ג. 200 ד. 400


מילוי סקרים בתשלום למי שמעונין ,
משלם בזמן וקל להגיע ליעד :
https://goo.gl/EJh6V2


                                שתף        
מכתב זה והנלווה אליו, על אחריות ועל דעת הכותב בלבד

  האשכול     מחבר     תאריך כתיבה     מספר  
  סעיף א' eminem 24.02.15 20:30 1
     למחוק eminem 25.02.15 20:57 5
  סעיף ב' eminem 24.02.15 20:34 2
  תודה לך ... אבל לא מבין את א.. Crazy Lion  25.02.15 08:53 3
  אמינם יש מצב אתה באמת מסביר את השאלה הראשונה שוב? מה זה מבחן השערה דו צדדי? כמה עוד 25.02.15 18:48 4
     תסתכלו על זה, אם עדיין לא תבינו אתן לכם הסבר יותר נרחב eminem 25.02.15 21:00 6
         תודה אחי, האמת שבידיוק באותו יום שכתבתי את התגובה היה לי את המועד כמה עוד 27.02.15 09:33 7

       
eminem
חבר מתאריך 14.11.03
4348 הודעות, 1 פידבק, -2 נקודות
   20:30   24.02.15   
אל הפורום  
  1. סעיף א'  
בתגובה להודעה מספר 0
 
   ערכתי לאחרונה בתאריך 24.02.15 בשעה 20:35 בברכה, eminem
 
אתה לא צריך לבנות פה רווח סמך/למצוא סטיית תקן וכו'

השאלה בעצם מתייחסת לקשר בין מבחן השערה דו צדדי לבניית רווח סמך
אתה חייב חייב לדעת ולהבין את זה, תמיד שואלים את זה

התשובה היא ד'

לפי הרווח אתה יכול בעצם לדעת במבחן דו צדדי כאשר רמת המובהקות תואמת לרמת הבטחון ברווח אם לדחות או לא לדחות

אם בנית רווח סמך ברמת בטחון 95% בעצם איזור הדחייה שלך נחלך לשני הצדדים 2.5% לכל איזור דחייה
בדיוק כמו במבחן דו צדדי ברמת מובהקות של 5%
לכן אם השערת האפס (לפי מה שאני מבין השערת האפס פה זה האם התוחלת שווה 31, וההשערה האלטרנטיבית שונה מ-31) נמצאת בתוך הרווח אז מקבלים את H0 ואם לא נמצא אז דוחים אותה

כלומר שמה שחשוב לך בעצם זה מהו הרווח עצמו (לא מעניין אותך באיזה סטיית תקן/גודל מדגם בנו אותו), רמת הבטחון, רמת המובהקות של המבחן, וההשערות


                                                         (ניהול: מחק תגובה)
מכתב זה והנלווה אליו, על אחריות ועל דעת הכותב בלבד
eminem
חבר מתאריך 14.11.03
4348 הודעות, 1 פידבק, -2 נקודות
   20:57   25.02.15   
אל הפורום  
  5. למחוק  
בתגובה להודעה מספר 1
 
  


                                                         (ניהול: מחק תגובה)
מכתב זה והנלווה אליו, על אחריות ועל דעת הכותב בלבד
eminem
חבר מתאריך 14.11.03
4348 הודעות, 1 פידבק, -2 נקודות
   20:34   24.02.15   
אל הפורום  
  2. סעיף ב'  
בתגובה להודעה מספר 0
 
   אני חושב שהתשובה פה היא 400
זה בעצם נובע מהנוסחה

http://rotter.name/User_files/nor/54ecc3f251c7a571.jpg

אם אתה מחלק פי 2 כל Z, מוציא החוצה מהסוגרים זה בעצם הופך ל-1/4

לכן אם אתה מכפיל את שני האגפים יצא לך 400


                                                         (ניהול: מחק תגובה)
מכתב זה והנלווה אליו, על אחריות ועל דעת הכותב בלבד
Crazy Lion  לחץ כאן להצגת דירוג המשתמש
חבר מתאריך 1.7.02
19328 הודעות, 9 פידבק, 16 נקודות
   08:53   25.02.15   
אל הפורום  
  3. תודה לך ... אבל לא מבין את א..  
בתגובה להודעה מספר 0
 
  

מילוי סקרים בתשלום למי שמעונין ,
משלם בזמן וקל להגיע ליעד :
https://goo.gl/EJh6V2


                                                         (ניהול: מחק תגובה)
מכתב זה והנלווה אליו, על אחריות ועל דעת הכותב בלבד
כמה עוד לחץ כאן להצגת דירוג המשתמש
חבר מתאריך 18.11.09
234 הודעות, 11 פידבק, 19 נקודות
   18:48   25.02.15   
אל הפורום  
  4. אמינם יש מצב אתה באמת מסביר את השאלה הראשונה שוב? מה זה מבחן השערה דו צדדי?  
בתגובה להודעה מספר 0
 
  


                                                         (ניהול: מחק תגובה)
מכתב זה והנלווה אליו, על אחריות ועל דעת הכותב בלבד
eminem
חבר מתאריך 14.11.03
4348 הודעות, 1 פידבק, -2 נקודות
   21:00   25.02.15   
אל הפורום  
  6. תסתכלו על זה, אם עדיין לא תבינו אתן לכם הסבר יותר נרחב  
בתגובה להודעה מספר 4
 
  


לחץ כאן לצפיה דרך יוטיוב


                                                         (ניהול: מחק תגובה)
מכתב זה והנלווה אליו, על אחריות ועל דעת הכותב בלבד
כמה עוד לחץ כאן להצגת דירוג המשתמש
חבר מתאריך 18.11.09
234 הודעות, 11 פידבק, 19 נקודות
   09:33   27.02.15   
אל הפורום  
  7. תודה אחי, האמת שבידיוק באותו יום שכתבתי את התגובה היה לי את המועד  
בתגובה להודעה מספר 6
 
   ב' באמידה.. נוראי


                                                         (ניהול: מחק תגובה)
מכתב זה והנלווה אליו, על אחריות ועל דעת הכותב בלבד

תגובה מהירה  למכתב מספר: 
 
___________________________________________________________________

___________________________________________________________________
למנהלים:  נעל | תייק בארכיון | מחק | העבר לפורום אחר | מחק תגובות | עגן אשכול
       



© כל הזכויות שמורות ל-רוטר.נט בע"מ rotter.net