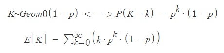
אנחנו מחשבים מהו ממוצע שידורים לחבילה כאשר ישנה הסתברות של p
לשגיאה בחבילה..קרי: כל נסיון שבו החבילה הייתה לא תקינה, לא נחשב להצלחה.
הסברנו שזה מתפלג גיאומטרית - כאשר K הוא מס' הנסיונות עד לשידור מוצלח
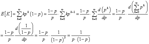
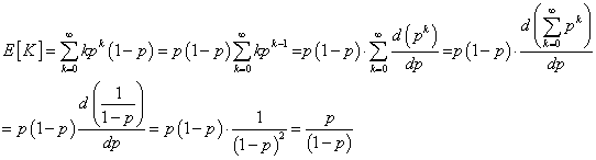
ע"פ התרגול, החישוב נעשה בדומה לחישוב תוחלת של משתנה גיאומטרי,
ע"י גזירת טור אינסופי (אין לי מושג איך)
הנה תמונה של התחלת החישוב כפי שנעשה בתרגול
( ההסתברות מציינת מה ההסתברות שמס' השידורים החוזרים לחבילה הינו k )
http://rotter.name/User_files/nor/557a8802717ac3a5.jpg
@danny444@
