ABA


"אשמח לעזרה בעוד שאלה הסתברותית"
גירסת הדפסה        
קבוצות דיון לימודים, מדע ותרבות נושא #21392 מנהל    סגן המנהל    מפקח   Winner    צל"ש   מומחה  
אשכול מספר 21392
onso לחץ כאן להצגת דירוג המשתמש
חבר מתאריך 16.4.03
32231 הודעות, 4 פידבק
   22:51   04.02.16   
אל הפורום  
  אשמח לעזרה בעוד שאלה הסתברותית  
 
   Two friends arranged to meet between 2 and 3 p.m.
One of them arrives and can wait for his friend not longer than 20 minutes.
Calculate the probability that the friends will meet, if they come between 2 and 3
p.m. randomly.

למישהו יש רעיון?


                                שתף        
מכתב זה והנלווה אליו, על אחריות ועל דעת הכותב בלבד

  האשכול     מחבר     תאריך כתיבה     מספר  
  לא ברור לי אם רק אחד מהם יכול לחכות או ששניהם יכולים לחכות אחד לשני רק 20 דק'? ohadeytan 04.02.16 23:51 1
  בכל מקרה הדרך הקלה לפתור את זה היא לצייר מישור כשציר אחד מייצג את השעה ohadeytan 04.02.16 23:54 2
  הבאתי לך שתי תשובות בהתאם להבנה שלי של השאלה eminem 05.02.16 09:20 3
     תשובה יותר ברורה eminem 05.02.16 10:42 5
  תסתכלו בשאלה הראשונה פה: ohadeytan 05.02.16 10:41 4

       
ohadeytan לחץ כאן להצגת דירוג המשתמש
חבר מתאריך 7.8.06
617 הודעות, 3 פידבק
   23:51   04.02.16   
אל הפורום  
  1. לא ברור לי אם רק אחד מהם יכול לחכות או ששניהם יכולים לחכות אחד לשני רק 20 דק'?  
בתגובה להודעה מספר 0
 
  


                                                         (ניהול: מחק תגובה)
מכתב זה והנלווה אליו, על אחריות ועל דעת הכותב בלבד
ohadeytan לחץ כאן להצגת דירוג המשתמש
חבר מתאריך 7.8.06
617 הודעות, 3 פידבק
   23:54   04.02.16   
אל הפורום  
  2. בכל מקרה הדרך הקלה לפתור את זה היא לצייר מישור כשציר אחד מייצג את השעה  
בתגובה להודעה מספר 0
 
   שהראשון הגיע וציר שני את השעה שהשני הגיע.
לבדוק אילו נק' חוקיות ואילו לא ולחשב את השטח היחסי.


                                                         (ניהול: מחק תגובה)
מכתב זה והנלווה אליו, על אחריות ועל דעת הכותב בלבד
eminem
חבר מתאריך 14.11.03
4348 הודעות, 1 פידבק
   09:20   05.02.16   
אל הפורום  
  3. הבאתי לך שתי תשובות בהתאם להבנה שלי של השאלה  
בתגובה להודעה מספר 0
 
   ערכתי לאחרונה בתאריך 05.02.16 בשעה 09:35 בברכה, eminem
 
לא נתון באיזו התפלגות הם יגיעו
נניח שהם יגיעו בהתפלגות אחידה (בדידה או רציפה לדעתי לא משנה פה)

אחד החברים יכול לחכות 20 דקות נצא מנקודת הנחה שהוא לא יכול יגיע ב-2:50 ואז יחכה כביכול רק 10 דקות אבל לכל המאוחר יגיע ב-2:40 ויחכה 20 דקות משמע שהוא יחכה שליש מתוך השעה

החבר השני יכול להגיע באופן הסתברותי שווה בכל שעה לכן התשובה אמורה להיות שליש

עריכה:
צריך לחשוב על זה מעבר

האם החבר שלא מוגבל בזמן הוא פשוט מגיע ומחכה לו? או פשוט מגיע רואה אם החבר המוגבל בזמן שם ואם לא הוא ישר חותך? כי אם זה כן המצב אז יותר יהיה פשוט לחשב את ההסתברות שהוא יפספס אותו ואז לחסר את התשובה ב-1
בכל אופן בוא נתייחס למצב השני (עריכה)
לצורך נוחות אסמן
חבר 1 - לא מוגבל בזמן
חבר 2 - מוגבל בזמן (20 דקות)

אם החבר ה-1 יגיע לפני 2:20 ויחכה כל הזמן אז משמע 100% הוא יפגוש את החבר השני כלומר אם יש סיכוי שהוא יפספס את החבר השני הוא צריך להגיע בין 2:20-3 כלומר בהסתברות של 2/3 שיגיע בטווח הזה
ואז צריך להכפיל את הסבירות שהחבר השני יגיע גם בטווח הזה כלומר גם 2/3 ואז להכפיל בחצי

כלומר
1/2*2/3*2/3=2/9
וזו ההסתברות שהם יפספסו אחד את השני כלומר אם המצב כמו שתיארתי בעריכה התשובה צריכה להיות 1-2/9=7/9
שהם יפגשו

ואז הגיעה לה עריכה שניה
צריך לחזור לשאלה הראשונה האם החבר ה-2 (המוגבל) יכול להגיע לכל המאוחר ב-2:40 כדי לחכות 20 דקות? כי אם כן משמע הסיכוי שהם יפספסו
הוא שהחבר ה-1 יגיע אחרי 2:40 כלומר 1/3 והחבר ה-2 יגיע בטווח של 2:20-2:40 וזה גם 1/3

בכל מקרה השאלה הזו הכניסה אותי לבלבלות


                                                         (ניהול: מחק תגובה)
מכתב זה והנלווה אליו, על אחריות ועל דעת הכותב בלבד
eminem
חבר מתאריך 14.11.03
4348 הודעות, 1 פידבק
   10:42   05.02.16   
אל הפורום  
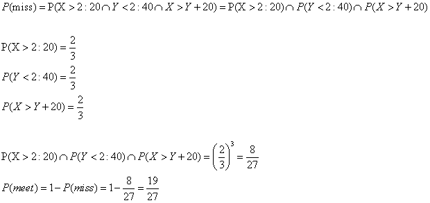
  5. תשובה יותר ברורה  
בתגובה להודעה מספר 3
 
   כמו שאמרתי יותר קל לגשת לזה למצוא את ההסתברות שהם לא יפגשו ולחסר את התשובה מ-1

סימונים

חבר 1 - חבר לא מוגבל בזמן
חבר 2 - חבר מוגבל בזמן

הנחות (לפי הבנת השאלה)

1. חבר 1 כאשר יגיע מאחר ואין לו הגבלה הוא נשאר לחכות לחבר השני עד 3
2. חבר 2 יכול להגיע מתי שהוא שרוצה אבל יחכה 20 דקות או יחתוך ב-3, כלומר המוקדם מהשנים

במצב הזה קל להסתכל על זה כמו שהציאו בשני צירי זמן
חבר 1:
קודם כל על מנת שיהיה סיכוי לפספוס הוא צריך להגיע 2:20 ומעלה
חבר 2:
הסיכוי שיהיה פספוס צריך להגיע יותר מוקדם מ-2:40

נסמן X - הזמן שחבר 1 הגיע
נסמן Y - הזמן שחבר 2 הגיע

http://rotter.name/User_files/nor/56b4607603130a9f.gif


                                                         (ניהול: מחק תגובה)
מכתב זה והנלווה אליו, על אחריות ועל דעת הכותב בלבד
ohadeytan לחץ כאן להצגת דירוג המשתמש
חבר מתאריך 7.8.06
617 הודעות, 3 פידבק
   10:41   05.02.16   
אל הפורום  
  4. תסתכלו בשאלה הראשונה פה:  
בתגובה להודעה מספר 0
 
   http://www.cut-the-knot.org/Probability/GeometricProbabilities.shtml


                                                         (ניהול: מחק תגובה)
מכתב זה והנלווה אליו, על אחריות ועל דעת הכותב בלבד

תגובה מהירה  למכתב מספר: 
 
___________________________________________________________________

___________________________________________________________________
למנהלים:  נעל | תייק בארכיון | מחק | העבר לפורום אחר | מחק תגובות | עגן אשכול
       



© כל הזכויות שמורות ל-רוטר.נט בע"מ rotter.net