ABA


"שאלה במשוואה ריבועית (הצבה של t)"
גירסת הדפסה        
קבוצות דיון לימודים, מדע ותרבות נושא #21488 מנהל    סגן המנהל    מפקח   Winner    צל"ש   מומחה  
אשכול מספר 21488
Drunken-Dwarf
חבר מתאריך 21.9.09
4563 הודעות
   20:32   21.09.16   
אל הפורום  
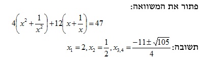
  שאלה במשוואה ריבועית (הצבה של t)  
 
   http://rotter.name/User_files/nor/57e2c2902556b09e.jpg

פתחתי את המשוואה בצורה הבאה:

X^4+1)+12(X^2+1)=47)

ואז מציב X^2 שווה ל-t ופותח סוגריים. אבל לא משנה איך אני ממשיך אני לא מצליח להגיע לתשובה...
אשמח לעזרה


                                שתף        
מכתב זה והנלווה אליו, על אחריות ועל דעת הכותב בלבד

  האשכול     מחבר     תאריך כתיבה     מספר  
  אתה לא יכול לעשות את מה שעשית. אם אתה כופל הכל בX^2 אז גם 47*X^2 InfraRed 21.09.16 20:36 1
     אי אפשר לבצע מכנה משותף לאיברים שבסוגריים? Drunken-Dwarf 21.09.16 21:03 2
         אפשר, אבל אתה העלמת את המכנה, שזה כאילו כפלת את שני האגפים -SHAY-  21.09.16 21:12 3
             זה השלב שנתקעתי בו Drunken-Dwarf 21.09.16 21:38 5
                 אחי פתור madnaor 21.09.16 21:39 6
  ככה madnaor 21.09.16 21:23 4
     חח שמע השורה באמצע נראת מבולגנת לא הבנתי מה הולך שם Drunken-Dwarf 21.09.16 21:42 7
         מכתב madnaor 21.09.16 21:53 8
             אז בעצם הוצאת את הבריבוע אל מחוץ לסוגריים, ואז פתחת אותם וה-2 הזה הופיע? Drunken-Dwarf 21.09.16 21:59 10
                 תסתכל צד ימין למעלה madnaor 21.09.16 22:00 11
  מצרף קובץ Moshe4PRO 21.09.16 21:56 9
  moshe4pro ו madnaor Drunken-Dwarf 21.09.16 22:05 12

       
InfraRed לחץ כאן להצגת דירוג המשתמש
חבר מתאריך 11.6.08
3774 הודעות, 1 פידבק
   20:36   21.09.16   
אל הפורום  
  1. אתה לא יכול לעשות את מה שעשית. אם אתה כופל הכל בX^2 אז גם 47*X^2  
בתגובה להודעה מספר 0
 
   לא רק צד שמאל של המשוואה אלא גם צד ימין

עריכה:
עכשיו אני רואה שגם באגף שמאל פישלת.. אתה צריך לחזור על חוקים בסיסים במשוואת ..


                                                         (ניהול: מחק תגובה)
מכתב זה והנלווה אליו, על אחריות ועל דעת הכותב בלבד
Drunken-Dwarf
חבר מתאריך 21.9.09
4563 הודעות
   21:03   21.09.16   
אל הפורום  
  2. אי אפשר לבצע מכנה משותף לאיברים שבסוגריים?  
בתגובה להודעה מספר 1
 
   הכוונה היא שכל סוגריים בפני עצמם...
@InfraRed@


                                                         (ניהול: מחק תגובה)
מכתב זה והנלווה אליו, על אחריות ועל דעת הכותב בלבד
-SHAY- 
חבר מתאריך 7.3.05
937 הודעות
   21:12   21.09.16   
אל הפורום  
  3. אפשר, אבל אתה העלמת את המכנה, שזה כאילו כפלת את שני האגפים  
בתגובה להודעה מספר 2
 
   או שאתה כופל את שני אגפי המשוואה באותו גורם או שאתה עושה מכנה משותף והוא צריך להופיע.


                                                         (ניהול: מחק תגובה)
מכתב זה והנלווה אליו, על אחריות ועל דעת הכותב בלבד
Drunken-Dwarf
חבר מתאריך 21.9.09
4563 הודעות
   21:38   21.09.16   
אל הפורום  
  5. זה השלב שנתקעתי בו  
בתגובה להודעה מספר 3
 
   http://rotter.name/User_files/nor/57e2d43738786413.jpg


                                                         (ניהול: מחק תגובה)
מכתב זה והנלווה אליו, על אחריות ועל דעת הכותב בלבד
madnaor
חבר מתאריך 20.3.02
21815 הודעות, 2 פידבק
   21:39   21.09.16   
אל הפורום  
  6. אחי פתור  
בתגובה להודעה מספר 5
 
סתכל למטה



                                                         (ניהול: מחק תגובה)
מכתב זה והנלווה אליו, על אחריות ועל דעת הכותב בלבד
madnaor
חבר מתאריך 20.3.02
21815 הודעות, 2 פידבק
   21:23   21.09.16   
אל הפורום  
  4. ככה  
בתגובה להודעה מספר 0
 
אתה מציב
x+1/x=t
ואז יוצא לך
4((x+1/x)^2-2)+12(x+1/x)=47

ואז
4(t^2-2)+12t=47



                                                         (ניהול: מחק תגובה)
מכתב זה והנלווה אליו, על אחריות ועל דעת הכותב בלבד
Drunken-Dwarf
חבר מתאריך 21.9.09
4563 הודעות
   21:42   21.09.16   
אל הפורום  
  7. חח שמע השורה באמצע נראת מבולגנת לא הבנתי מה הולך שם  
בתגובה להודעה מספר 4
 
   ערכתי לאחרונה בתאריך 21.09.16 בשעה 21:48 בברכה, Drunken-Dwarf
 
@madnaor@


                                                         (ניהול: מחק תגובה)
מכתב זה והנלווה אליו, על אחריות ועל דעת הכותב בלבד
madnaor
חבר מתאריך 20.3.02
21815 הודעות, 2 פידבק
   21:53   21.09.16   
אל הפורום  
  8. מכתב  
בתגובה להודעה מספר 7
 
http://rotter.name/User_files/nor/57e2d7283b6f3f5b.jpg



                                                         (ניהול: מחק תגובה)
מכתב זה והנלווה אליו, על אחריות ועל דעת הכותב בלבד
Drunken-Dwarf
חבר מתאריך 21.9.09
4563 הודעות
   21:59   21.09.16   
אל הפורום  
  10. אז בעצם הוצאת את הבריבוע אל מחוץ לסוגריים, ואז פתחת אותם וה-2 הזה הופיע?  
בתגובה להודעה מספר 8
 
   אז למה ה2 מחוץ לסוגריים לאחר מכן? ולמה הוא שלילי?


                                                         (ניהול: מחק תגובה)
מכתב זה והנלווה אליו, על אחריות ועל דעת הכותב בלבד
madnaor
חבר מתאריך 20.3.02
21815 הודעות, 2 פידבק
   22:00   21.09.16   
אל הפורום  
  11. תסתכל צד ימין למעלה  
בתגובה להודעה מספר 10
 
כדי להשוות בין החלקים הייתי חייב להוריד את ה2 שהתווספו לי



                                                         (ניהול: מחק תגובה)
מכתב זה והנלווה אליו, על אחריות ועל דעת הכותב בלבד
Moshe4PRO
חבר מתאריך 26.6.16
593 הודעות
   21:56   21.09.16   
אל הפורום  
  9. מצרף קובץ  
בתגובה להודעה מספר 0
 
   http://rotter.name/User_files/nor/57e2d7a53be7b3ab.pdf


                                                         (ניהול: מחק תגובה)
מכתב זה והנלווה אליו, על אחריות ועל דעת הכותב בלבד
Drunken-Dwarf
חבר מתאריך 21.9.09
4563 הודעות
   22:05   21.09.16   
אל הפורום  
  12. moshe4pro ו madnaor  
בתגובה להודעה מספר 0
 
   תודה רבה על ההשקעה חברים עכשיו הבנתי


                                                         (ניהול: מחק תגובה)
מכתב זה והנלווה אליו, על אחריות ועל דעת הכותב בלבד

תגובה מהירה  למכתב מספר: 
 
___________________________________________________________________

___________________________________________________________________
למנהלים:  נעל | תייק בארכיון | מחק | העבר לפורום אחר | מחק תגובות | עגן אשכול
       



© כל הזכויות שמורות ל-רוטר.נט בע"מ rotter.net