גירסת הדפסה   שלח לחבר       אשכול קודם  אשכול הבא
קבוצות דיון פורום אברכים נושא #59922 מנהל    סגן המנהל    מפקח   צל"ש  
אשכול מספר 59922
מדבר_לענין
חבר מתאריך 23.1.13
1811 הודעות
יום רביעי כ''ז באדר תשע''ה    05:18   18.03.15   
לחץ לשליחת הודעה פרטית למשתמש לחץ להצגת פרופיל המשתמשלחץ להוספת משתמש זה לרשימת החברים שלך עבור לצ'אט  
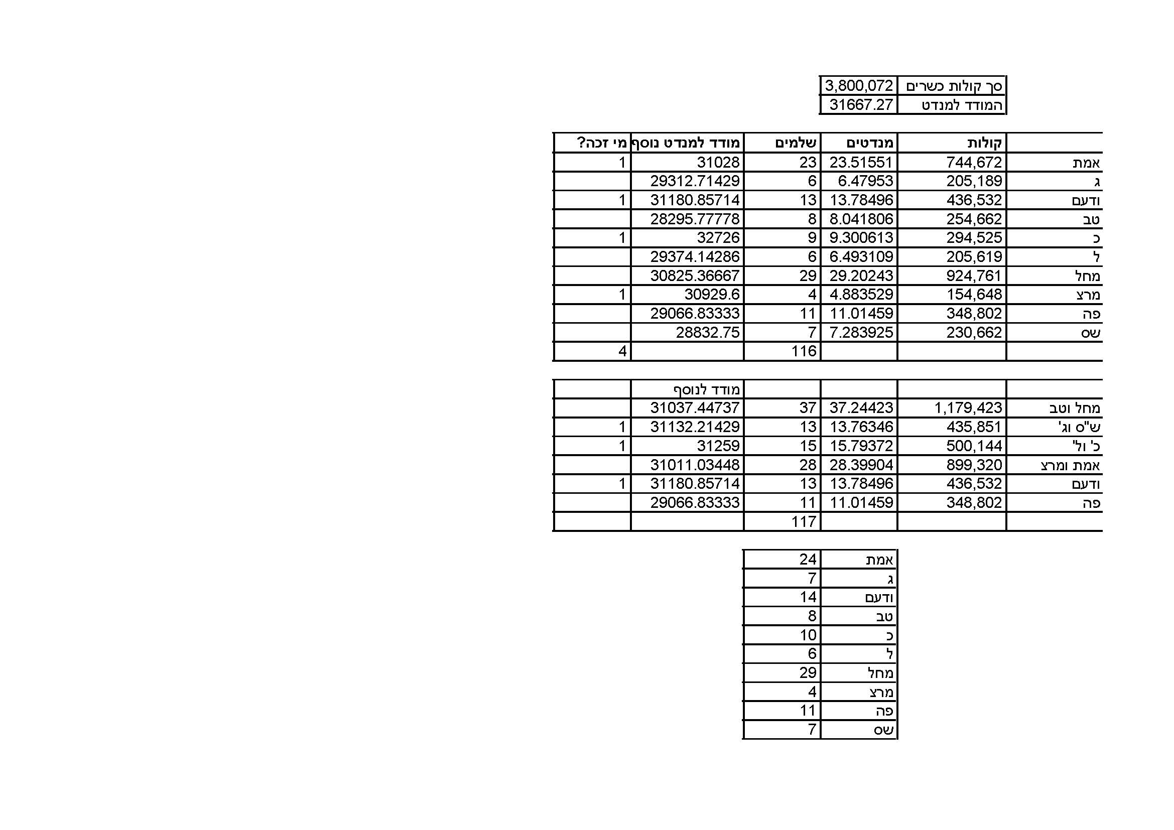
  תוצאות האמת לפי החישוב שלי בשעה 5:06  
 
   אמת 24
ג 6
ודעם 14
טב 8
כ 10
ל 6
מחל 29
מרצ 5
פה 11
שס 7


              תגובה עם ציטוט   | תגובה מהירה       |   0   |


  האשכול     מחבר     תאריך כתיבה     מספר  
  והנה התוצאה לפניכם מדבר_לענין 18.03.15 05:28 1
     החשבון אחרי באדר עופר? מרדכי היהודי 18.03.15 05:32 2
         כנראה שלא וזה הטעות שלו אב-רך 18.03.15 05:34 3
             וכרגע ג' שבע המודד המשותף זה 30,907 אב-רך 18.03.15 05:36 6
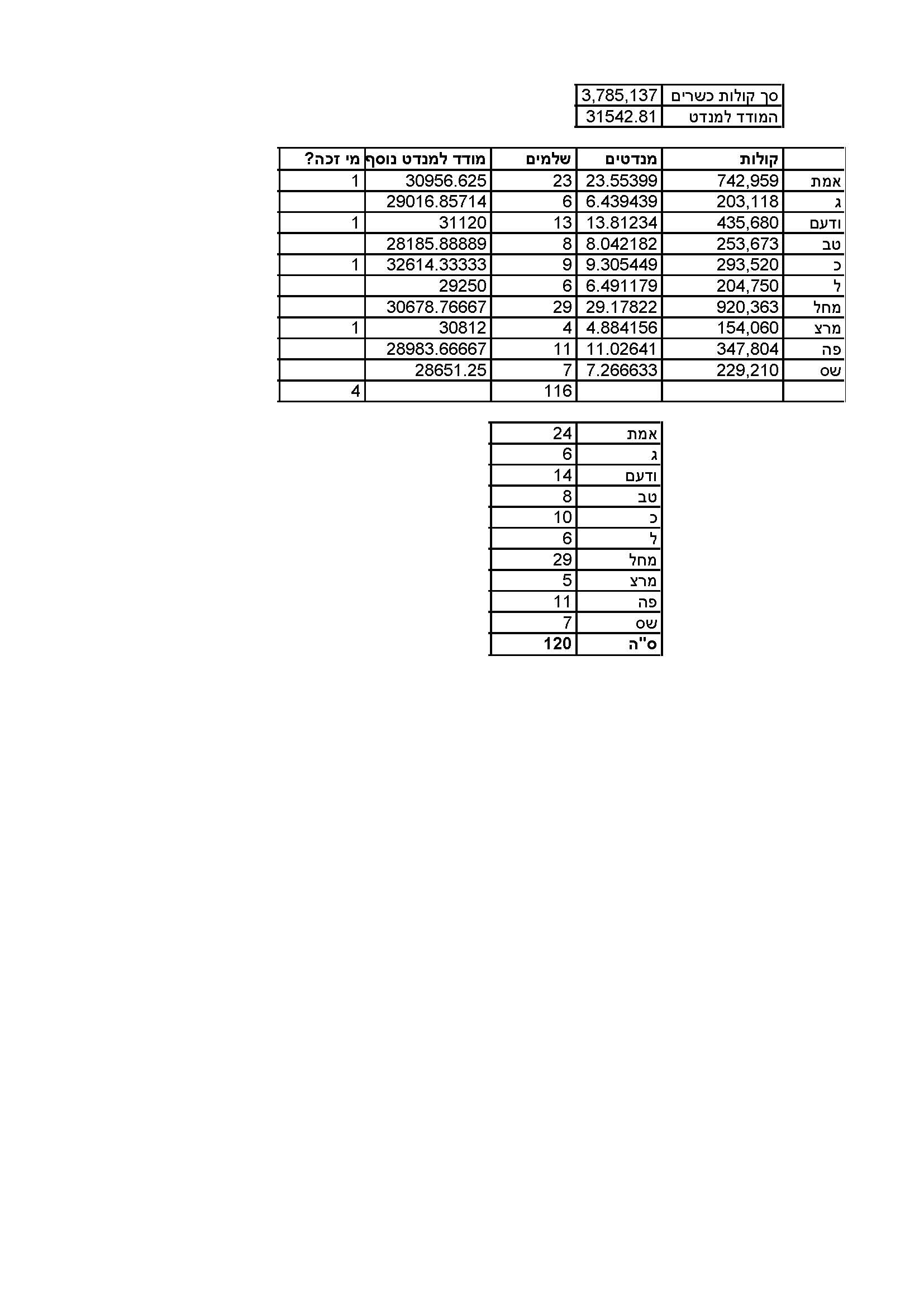
         בוודאי, והנה המעודכן ל 5:24 מדבר_לענין 18.03.15 05:34 4
             מה שלא בדקתי זה אם יש הסכמי עודפים מדבר_לענין 18.03.15 05:35 5
                 ודאי שזה משנה זה כל הרעיון, ש''ס וג' נחשבים למפלגה אחת אב-רך 18.03.15 05:38 7
                     בדקתי, וזה לא משנה את המצב מדבר_לענין 18.03.15 05:53 10
                         ברשת ב טוענים לתוצאות אחרות מרדכי היהודי 18.03.15 05:56 11
                         אם כי, לפי הסכמי העודפים, זה אכן על חודם של קולות ספורים מדבר_לענין 18.03.15 06:00 12
                             נכון לשעה 5:55 התוצאה השתנתה ויהדות התורה מקבלת על חודו של קול את השביעי מדבר_לענין 18.03.15 06:09 13
                                 כמה קולות? ומה אם החיילים? מרדכי היהודי 18.03.15 06:13 14
                                 ובספירת הקולות בצבא יהדות התורה תפסיד ככל הנראה את השביעי על-הסלע-הך 18.03.15 06:13 15
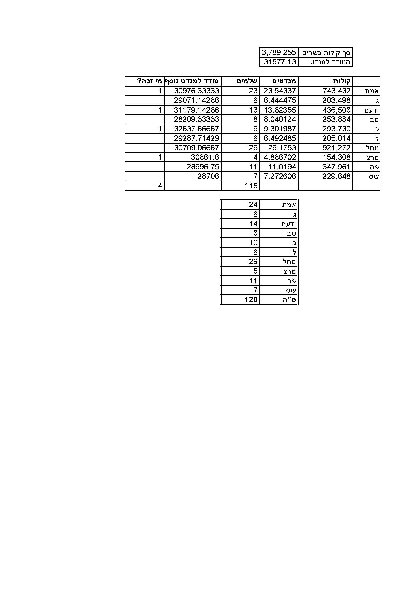
                                     וכך זה נראה עכשיו מדבר_לענין 18.03.15 06:30 16
  רשת ב': ג' 7 ערבים 13 מרדכי היהודי 18.03.15 05:42 8
  אכן זה התוצאה לבד קולות החיילים החולים המוגבלים והדיפלומטים מים מן הסלע 18.03.15 05:52 9

לובי  לפורומים  אשכול קודם  אשכול הבא
מדבר_לענין
חבר מתאריך 23.1.13
1811 הודעות
יום רביעי כ''ז באדר תשע''ה    05:28   18.03.15   
לחץ לשליחת הודעה פרטית למשתמש לחץ להצגת פרופיל המשתמשלחץ להוספת משתמש זה לרשימת החברים שלך עבור לצ'אט  
  1. והנה התוצאה לפניכם  
    בתגובה להודעה מספר 0
 
  


            תגובה עם ציטוט   | תגובה מהירה                                     (ניהול: מחק תגובה)
מרדכי היהודי
חבר מתאריך 1.9.13
1195 הודעות
יום רביעי כ''ז באדר תשע''ה    05:32   18.03.15   
לחץ לשליחת הודעה פרטית למשתמש לחץ להוספת משתמש זה לרשימת החברים שלך עבור לצ'אט  
  2. החשבון אחרי באדר עופר?  
    בתגובה להודעה מספר 1
 
  


דע כשיש שלום בעיר הוא מפני שאין בר דעת בעיר הזאת, כי אם אין דעת הבדלה מנין. אבל כשיש בר דעת בעיר אזי יש הבדלה שיש אנשים שנוטים להבר-דעת ודבקים בו, ויש אנשים שחולקים עליו:


            תגובה עם ציטוט   | תגובה מהירה                                     (ניהול: מחק תגובה)
אב-רך
חבר מתאריך 20.7.12
651 הודעות
יום רביעי כ''ז באדר תשע''ה    05:34   18.03.15   
לחץ לשליחת הודעה פרטית למשתמש לחץ להצגת פרופיל המשתמשלחץ להוספת משתמש זה לרשימת החברים שלך עבור לצ'אט  
  3. כנראה שלא וזה הטעות שלו  
    בתגובה להודעה מספר 2
 
   הפער בין יהדות התורה-ש"ס למרץ הרבה יותר קטן,

כי מחשבנים אותם כגוש של 6+7 פלוס 1 ומחלקים למספר הקולות שהגוש קיבל


            תגובה עם ציטוט   | תגובה מהירה                                     (ניהול: מחק תגובה)
אב-רך
חבר מתאריך 20.7.12
651 הודעות
יום רביעי כ''ז באדר תשע''ה    05:36   18.03.15   
לחץ לשליחת הודעה פרטית למשתמש לחץ להצגת פרופיל המשתמשלחץ להוספת משתמש זה לרשימת החברים שלך עבור לצ'אט  
  6. וכרגע ג' שבע המודד המשותף זה 30,907  
    בתגובה להודעה מספר 3
 
  


            תגובה עם ציטוט   | תגובה מהירה                                     (ניהול: מחק תגובה)
מדבר_לענין
חבר מתאריך 23.1.13
1811 הודעות
יום רביעי כ''ז באדר תשע''ה    05:34   18.03.15   
לחץ לשליחת הודעה פרטית למשתמש לחץ להצגת פרופיל המשתמשלחץ להוספת משתמש זה לרשימת החברים שלך עבור לצ'אט  
  4. בוודאי, והנה המעודכן ל 5:24  
    בתגובה להודעה מספר 2
 
  


            תגובה עם ציטוט   | תגובה מהירה                                     (ניהול: מחק תגובה)
מדבר_לענין
חבר מתאריך 23.1.13
1811 הודעות
יום רביעי כ''ז באדר תשע''ה    05:35   18.03.15   
לחץ לשליחת הודעה פרטית למשתמש לחץ להצגת פרופיל המשתמשלחץ להוספת משתמש זה לרשימת החברים שלך עבור לצ'אט  
  5. מה שלא בדקתי זה אם יש הסכמי עודפים  
    בתגובה להודעה מספר 4
 
   אך לא נראה לי שזה ישנה את התמונה


            תגובה עם ציטוט   | תגובה מהירה                                     (ניהול: מחק תגובה)
אב-רך
חבר מתאריך 20.7.12
651 הודעות
יום רביעי כ''ז באדר תשע''ה    05:38   18.03.15   
לחץ לשליחת הודעה פרטית למשתמש לחץ להצגת פרופיל המשתמשלחץ להוספת משתמש זה לרשימת החברים שלך עבור לצ'אט  
  7. ודאי שזה משנה זה כל הרעיון, ש''ס וג' נחשבים למפלגה אחת  
    בתגובה להודעה מספר 5
 
   לצורך החישוב של המודד למנדט


            תגובה עם ציטוט   | תגובה מהירה                                     (ניהול: מחק תגובה)
מדבר_לענין
חבר מתאריך 23.1.13
1811 הודעות
יום רביעי כ''ז באדר תשע''ה    05:53   18.03.15   
לחץ לשליחת הודעה פרטית למשתמש לחץ להצגת פרופיל המשתמשלחץ להוספת משתמש זה לרשימת החברים שלך עבור לצ'אט  
  10. בדקתי, וזה לא משנה את המצב  
    בתגובה להודעה מספר 7
 
  


            תגובה עם ציטוט   | תגובה מהירה                                     (ניהול: מחק תגובה)
מרדכי היהודי
חבר מתאריך 1.9.13
1195 הודעות
יום רביעי כ''ז באדר תשע''ה    05:56   18.03.15   
לחץ לשליחת הודעה פרטית למשתמש לחץ להוספת משתמש זה לרשימת החברים שלך עבור לצ'אט  
  11. ברשת ב טוענים לתוצאות אחרות  
    בתגובה להודעה מספר 10
 
  


דע כשיש שלום בעיר הוא מפני שאין בר דעת בעיר הזאת, כי אם אין דעת הבדלה מנין. אבל כשיש בר דעת בעיר אזי יש הבדלה שיש אנשים שנוטים להבר-דעת ודבקים בו, ויש אנשים שחולקים עליו:


            תגובה עם ציטוט   | תגובה מהירה                                     (ניהול: מחק תגובה)
מדבר_לענין
חבר מתאריך 23.1.13
1811 הודעות
יום רביעי כ''ז באדר תשע''ה    06:00   18.03.15   
לחץ לשליחת הודעה פרטית למשתמש לחץ להצגת פרופיל המשתמשלחץ להוספת משתמש זה לרשימת החברים שלך עבור לצ'אט  
  12. אם כי, לפי הסכמי העודפים, זה אכן על חודם של קולות ספורים  
    בתגובה להודעה מספר 10
 
   מתמודדים מול מפלגת העבודה (או מרצ)


            תגובה עם ציטוט   | תגובה מהירה                                     (ניהול: מחק תגובה)
מדבר_לענין
חבר מתאריך 23.1.13
1811 הודעות
יום רביעי כ''ז באדר תשע''ה    06:09   18.03.15   
לחץ לשליחת הודעה פרטית למשתמש לחץ להצגת פרופיל המשתמשלחץ להוספת משתמש זה לרשימת החברים שלך עבור לצ'אט  
  13. נכון לשעה 5:55 התוצאה השתנתה ויהדות התורה מקבלת על חודו של קול את השביעי  
    בתגובה להודעה מספר 12
 
   אמת 24
ג 7
ודעם 14
טב 8
כ 10
ל 6
מחל 29
מרצ 4
פה 11
שס 7
ס"ה 120


אך זה ממש על חודו של קול, ויש להמתין לתוצאות הסופיות.

נתפלל שיהיה קידוש שם שמים.


            תגובה עם ציטוט   | תגובה מהירה                                     (ניהול: מחק תגובה)
מרדכי היהודי
חבר מתאריך 1.9.13
1195 הודעות
יום רביעי כ''ז באדר תשע''ה    06:13   18.03.15   
לחץ לשליחת הודעה פרטית למשתמש לחץ להוספת משתמש זה לרשימת החברים שלך עבור לצ'אט  
  14. כמה קולות? ומה אם החיילים?  
    בתגובה להודעה מספר 13
 
  


דע כשיש שלום בעיר הוא מפני שאין בר דעת בעיר הזאת, כי אם אין דעת הבדלה מנין. אבל כשיש בר דעת בעיר אזי יש הבדלה שיש אנשים שנוטים להבר-דעת ודבקים בו, ויש אנשים שחולקים עליו:


            תגובה עם ציטוט   | תגובה מהירה                                     (ניהול: מחק תגובה)
על-הסלע-הך
חבר מתאריך 14.12.12
12821 הודעות
יום רביעי כ''ז באדר תשע''ה    06:13   18.03.15   
לחץ לשליחת הודעה פרטית למשתמש לחץ להצגת פרופיל המשתמשלחץ להוספת משתמש זה לרשימת החברים שלך עבור לצ'אט  
  15. ובספירת הקולות בצבא יהדות התורה תפסיד ככל הנראה את השביעי  
    בתגובה להודעה מספר 13
 
   כך לפי דברי חבר וועדת הבחירות


            תגובה עם ציטוט   | תגובה מהירה                                     (ניהול: מחק תגובה)
מדבר_לענין
חבר מתאריך 23.1.13
1811 הודעות
יום רביעי כ''ז באדר תשע''ה    06:30   18.03.15   
לחץ לשליחת הודעה פרטית למשתמש לחץ להצגת פרופיל המשתמשלחץ להוספת משתמש זה לרשימת החברים שלך עבור לצ'אט  
  16. וכך זה נראה עכשיו  
    בתגובה להודעה מספר 15
 
  


שימו לב! מי מקבל את העודפים?

מי שיש לו "מודד למנדט" הכי גבוה.

שימו לב בצד שמאל.


            תגובה עם ציטוט   | תגובה מהירה                                     (ניהול: מחק תגובה)
מרדכי היהודי
חבר מתאריך 1.9.13
1195 הודעות
יום רביעי כ''ז באדר תשע''ה    05:42   18.03.15   
לחץ לשליחת הודעה פרטית למשתמש לחץ להוספת משתמש זה לרשימת החברים שלך עבור לצ'אט  
  8. רשת ב': ג' 7 ערבים 13  
    בתגובה להודעה מספר 0
 
  


דע כשיש שלום בעיר הוא מפני שאין בר דעת בעיר הזאת, כי אם אין דעת הבדלה מנין. אבל כשיש בר דעת בעיר אזי יש הבדלה שיש אנשים שנוטים להבר-דעת ודבקים בו, ויש אנשים שחולקים עליו:


            תגובה עם ציטוט   | תגובה מהירה                                     (ניהול: מחק תגובה)
מים מן הסלע
חבר מתאריך 8.12.13
2282 הודעות
יום רביעי כ''ז באדר תשע''ה    05:52   18.03.15   
לחץ לשליחת EMail למשתמש לחץ לשליחת הודעה פרטית למשתמש לחץ להוספת משתמש זה לרשימת החברים שלך עבור לצ'אט  
  9. אכן זה התוצאה לבד קולות החיילים החולים המוגבלים והדיפלומטים  
    בתגובה להודעה מספר 0
 
  


            תגובה עם ציטוט   | תגובה מהירה                                     (ניהול: מחק תגובה)







תגובה מהירה  למכתב מספר: 
 

_________________________________________________________________________
למנהלים:  נעל | תייק בארכיון | מחק | העבר לפורום אחר | מזג לאשכול אחר | מחק תגובות | גיבוי אשכול | עגן אשכול
לובי  לפורומים  אשכול קודם  אשכול הבא

 

© כל הזכויות שמורות ל-רוטר.נט בע"מ rotter.net